Đề thi thử THPT QG môn Toán năm 2019 - Trường THPT Chuyên Hưng Yên lần 3
Đề thi thử THPT QG môn Toán năm 2019 - Trường THPT Chuyên Hưng Yên lần 3
-
Hocon247
-
50 câu hỏi
-
90 phút
-
125 lượt thi
-
Trung bình
Tham gia [ Hs Hocon247.com ] - Cộng Đồng Luyện Thi Trực Tuyến để được học tập những kiến thức bổ ích từ HocOn247.com
Cho hình chóp S. ABCD có ABCD là hình chữ nhật tâm I cạnh AB = 3a, BC = 4a. Hình chiếu của S trên mặt phẳng (ABCD) là trung điểm ID . Biết rằng SB tạo với mặt phẳng (ABCD) một góc \(45^0\). Tính diện tích mặt cầu ngoại tiếp hình chóp S. ABCD.
.png)
Gọi H là trung điểm của ID \( \Rightarrow SH \bot \left( {ABCD} \right)\)
Qua I dựng đường thẳng d song song với SH, đường thẳng này chính là
trục của hình chóp S.ABCD.
Dựng đường thẳng trung trực của cạnh SB, cắt đường thẳng d tại K.
Khi đó K là tâm mặt cầu ngoại tiếp hình chóp S.ABCD
Ta có: \(\angle \left( {SB,\left( {ABCD} \right)} \right) = \angle \left( {SB,BH} \right) = \angle SBH = {45^0}\)
\(BD = 5a \Rightarrow BH = \frac{3}{4}BD = \frac{{15a}}{4} = SH \Rightarrow SB = BH\sqrt 2 = \frac{{15a\sqrt 2 }}{4}\)
Gọi \(E = d \cap SB\). Áp dụng định lí Ta-lét ta có: \(\frac{{IE}}{{AH}} = \frac{{IB}}{{BH}} = \frac{2}{3} \Leftrightarrow IE = \frac{2}{3}SH = \frac{{5a}}{2}\)
\(\begin{array}{l}
\frac{{EB}}{{SB}} = \frac{{IB}}{{HB}} = \frac{2}{3} \Rightarrow EB = \frac{2}{3}SB = \frac{{5a\sqrt 2 }}{2};AM = MB = \frac{1}{2}SB = \frac{{15a\sqrt 2 }}{8}\\
\Rightarrow EM = EB - MB = \frac{{5a\sqrt 2 }}{8}
\end{array}\)
\(\angle SBH = {45^0} \Rightarrow \angle MEK = {45^0} \Rightarrow \Delta EMK\) vuông cân tại \(M \Rightarrow MK = ME = \frac{{5a\sqrt 2 }}{8}\)
Áp dụng định lí Pytago trong tam giác vuông MBK ta có:
\(KB = \sqrt {K{M^2} + M{B^2}} = \sqrt {\frac{{25{a^2}}}{{32}} + \frac{{225{a^2}}}{{32}}} = \frac{{5\sqrt 5 a}}{4} = R\)
Vậy diện tích mặt cầu ngoại tiếp chóp S.ABCD là \(S = 4\pi {R^2} = \frac{{125\pi }}{4}{a^2}\)
Cho y = F (x) và y = G (x) là những hàm số có đồ thị cho trong hình bên dưới, đặt P (x) = F (x).G (x). Tính P ' (2).
.png)
Xét khoảng (0;3) ta có: \(\left\{ \begin{array}{l}
F\left( x \right) = {x^2} - 4x + 7\\
G\left( x \right) = \frac{1}{2}x + 1
\end{array} \right. \Rightarrow \left\{ \begin{array}{l}
F'\left( x \right) = 2x - 4\\
G'\left( x \right) = \frac{1}{2}
\end{array} \right.\)
Ta có: \(P\left( x \right) = F\left( x \right).G\left( x \right)\)
\(\begin{array}{l}
\Rightarrow P'\left( x \right) = F'\left( x \right).G\left( x \right) + F\left( x \right).G'\left( x \right)\\
\Rightarrow P'\left( 2 \right) = F'\left( 2 \right).G\left( 2 \right) + F\left( 2 \right).G'\left( 2 \right)\\
= \left( {2.2 - 4} \right).2 + 3.\frac{1}{2} = \frac{3}{2}
\end{array}\)
Cho hình vuông ABCD cạnh a. Gọi N là điểm thuộc cạnh AD sao cho AN = 2DN. Đường thẳng qua N vuông góc với BN cắt BC tại K. Thể tích V của khối tròn xoay tạo thành khi quay tứ giác ANKB quanh trục BK là
.png)
.png)
Khi quay tứ giác ANKB quanh trục BK ta được hình trụ có bán kính đáy AB, chiều cao AN và hình nón có bán kính đáy AB, chiều cao \(KO = BK - AN\)
Ta có: \(AN = \frac{2}{3}AD = \frac{{2a}}{3}\)
Áp dụng định lý Pitago ta có:
\(\begin{array}{l}
BN = \sqrt {A{B^2} + A{N^2}} = \sqrt {{a^2} + \frac{4}{9}{a^2}} = \frac{{a\sqrt {13} }}{3}\\
\Rightarrow BK = \frac{{N{B^2}}}{{BO}} = \frac{{13{a^2}}}{{9.\frac{2}{3}a}} = \frac{{13a}}{6}\\
\Rightarrow KO = BK - BO = \frac{{13a}}{6} - \frac{{2a}}{3} = \frac{{3a}}{2}\\
\Rightarrow {V_{non}} = \frac{1}{3}\pi .A{B^2}.KO = \frac{1}{3}\pi .{a^2}.\frac{{3a}}{2} = \frac{{\pi {a^3}}}{2}\\
\Rightarrow {V_{tru}} = \pi .A{B^2}.AN = \pi .{a^2}.\frac{2}{3}a = \frac{{2\pi {a^3}}}{3}\\
\Rightarrow V = {V_{non}} + {V_{tru}} = \frac{{\pi {a^3}}}{2} + \frac{{2\pi {a^3}}}{3} = \frac{{7\pi {a^3}}}{6}
\end{array}\)
Trong không gian với hệ tọa độ Oxyz, cho mặt phẳng \(\left( P \right) = x + y + z - 3 = 0\) và đường thẳng \(d:\frac{x}{1} = \frac{{y + 1}}{2} = \frac{{z - 2}}{{ - 1}}\). Đường thẳng d ' đối xứng với d qua mặt phẳng (P) có phương trình là
Giả sử M là giao điểm của d và (P)
Ta có: \(d:\frac{x}{1} = \frac{{y + 1}}{2} = \frac{{z - 2}}{{ - 1}} \Leftrightarrow \left\{ \begin{array}{l}
x = t\\
y = - 1 + 2t\\
z = 2 - t
\end{array} \right. \Rightarrow M\left( {t; - 1 + 2t;2 - t} \right)\)
\(M \in \left( P \right) \Rightarrow t - 1 + 2t + 2 - t - 3 = 0 \Leftrightarrow t = 1 \Rightarrow M\left( {1;1;1} \right)\)
Lấy điểm \(A\left( {0; - 1;2} \right) \in d\) và không thuộc (P)
Phương trình đường thẳng \(\Delta\) đi qua \(A\left( {0; - 1;2} \right)\) và vuông góc với (P): \(\left\{ \begin{array}{l}
x = t\\
y = - 1 + t\\
z = 2 + t
\end{array} \right.\)
Gọi $H\left( {t; - 1 + t;2 + t} \right)\) là giao điểm của \(\Delta\) và (P) \( \Rightarrow t - 1 + t + 2 + t - 3 = 0 \Leftrightarrow t = \frac{2}{3} \Rightarrow H\left( {\frac{2}{3}; - \frac{1}{3};\frac{8}{3}} \right)\)
Gọi A' là điểm đối xứng của A qua H \( \Rightarrow A'\left( {\frac{4}{3};\frac{1}{3};\frac{{10}}{3}} \right)\)
Khi đó đường thẳng d' đối xứng với d qua (P) là đường thẳng đi qua M,
Ta có: \(\overrightarrow {MA'} = \left( {\frac{1}{3}; - \frac{2}{3};\frac{7}{3}} \right) = \frac{1}{3}\left( {1; - 2;7} \right) \Rightarrow d':\frac{{x - 1}}{1} = \frac{{y - 1}}{{ - 2}} = \frac{{z - 1}}{7}\)
Cho hình lập phương ABCD.A'B'C'D'. Gọi M, N lần lượt là trung điểm của cạnh AC và B'C'. Gọi \(\alpha \) là góc hợp giữa đường thẳng MN và mặt phẳng (A'B'C'D'). Tính giá trị của \(\sin \alpha\)
.png)
Gọi \(O = A'C' \cap B'D' \Rightarrow MO \bot \left( {A'B'C'D'} \right)\)
\( \Rightarrow MO \bot ON \Rightarrow \Delta OMN\) vuông tại N.
\(MO \bot \left( {A'B'C'D'} \right) \Rightarrow \angle \left( {MN;\left( {A'B'C'D'} \right)} \right) = \angle \left( {MN;MO} \right) = \angle MNO\)
Giả sử hình lập phương có cạnh bằng 1: \(OM = 1,\,\,ON = \frac{1}{2}\)
Trong tam giác vuông OMN ta có \(MN = \sqrt {O{M^2} + O{N^2}} = \frac{{\sqrt 5 }}{2}\)
\( \Rightarrow \sin \angle MNO = \frac{{OM}}{{MN}} = \frac{1}{{\frac{{\sqrt 5 }}{2}}} = \frac{{2\sqrt 5 }}{5}\)
Vậy \(\sin \alpha = \frac{{2\sqrt 5 }}{5}\)
Trong khai triển Newton của biểu thức \({\left( {2x - 1} \right)^{2019}}\) số hạng chứa \(x^{18}\) là
Ta có: \({\left( {2x - 1} \right)^{2019}} = {\sum\limits_{k = 0}^{2019} {C_{2019}^k{{\left( {2x} \right)}^k}\left( { - 1} \right)} ^{2019 - k}} = {\sum\limits_{k = 0}^{2019} {C_{2019}^k{2^k}\left( { - 1} \right)} ^{2019 - k}}{x^k}\)
Để có hệ số của \({x^{18}} \Rightarrow k = 18\)
\(\Rightarrow\) Số hạng chứa \({x^{18}}:\,\,C_{2019}^{18}{2^{18}}.{\left( { - 1} \right)^{2019 - 18}}{x^{18}} = - {2^{18}}.C_{2019}^{18}{x^{18}}\)
Hàm số nào sau đây là hàm số mũ?
Hàm số mũ là hàm số có dạng \(y = {a^x}\left( {0 < a \ne 1} \right)\)
Trong 4 đáp án, chỉ có đáp án D đúng.
Có bao nhiêu giá trị nguyên của tham số thực m thuộc đoạn \(\left[ { - 2018;2018} \right]\) để hàm số
\(f\left( x \right) = \left( {x + 1} \right)\ln x + \left( {2 - m} \right)x\) đồng biến trên khoảng \(\left( {0;{e^2}} \right)\)
TXĐ: \(D = \left( {0; + \infty } \right)\). Ta có: \(f'\left( x \right) = \ln x + \frac{{x + 1}}{x} + 2 - m\)
Hàm số đồng biến trên \(\left( {0;{e^2}} \right) \Leftrightarrow f'\left( x \right) \ge 0\,\,\,\forall x \in \left( {0;{e^2}} \right)\) và bằng 0 tại hữu hạn điểm.
\(\begin{array}{l}
\Leftrightarrow \ln x + \frac{{x + 1}}{x} + 2 - m \ge 0\,\,\,\forall x \in \left( {0;{e^2}} \right)\\
\Leftrightarrow g\left( x \right) = \ln x + \frac{{x + 1}}{x} + 2 \ge m\,\,\,\forall x \in \left( {0;{e^2}} \right)\\
\Leftrightarrow m < \mathop {\min }\limits_{\left[ {0;{e^2}} \right]} g\left( x \right)
\end{array}\)
Xét hàm số: \(g\left( x \right) = \,\,\ln x + \frac{{x + 1}}{x} + 2\left( {x > 0} \right)\) ta có:
\(g'\left( x \right) = \frac{1}{x} - \frac{1}{{{x^2}}} = 0 \Leftrightarrow {x^2} - x = 0 \Leftrightarrow \left[ \begin{array}{l}
x = 0\,\,(ktm)\\
x = 1
\end{array} \right.\)
Ta có BBT:
Từ BBT \(\Rightarrow \mathop {\min }\limits_{\left[ {0;{e^2}} \right]} g\left( x \right) = 4 \Rightarrow m < 4\)
Lại có:
\(\begin{array}{l}
\left\{ \begin{array}{l}
m \in Z\\
m \in \left[ { - 2018;2018} \right]
\end{array} \right. \Rightarrow \left\{ \begin{array}{l}
m \in Z\\
m \in \left[ { - 2018;4} \right)
\end{array} \right.\\
\Rightarrow m = \left\{ { - 2018; - 2017;...;2;3} \right\}
\end{array}\)
Vậy có 2022 giá trị của m thỏa mãn
Tính tổng S của cấp số nhân lùi vô hạn có số hạng đầu \(u_1=1\) và công bội \(q = - \frac{1}{2}\).
Ta có \(q < 1 \Rightarrow \) Cấp số nhân trên là cấp số nhân lùi vô hạn \( \Rightarrow S = \frac{{{u_1}}}{{1 - q}} = \frac{1}{{1 + \frac{1}{2}}} = \frac{2}{3}\)
Một đường thẳng cắt đồ thị hàm số \(y = {x^4} - 2{x^2}\) tại 4 điểm phân biệt có hoành độ 0, 1, m và n. Tính \(S = {m^2} + {n^2}\).
Gọi phương trình đường thẳng bài cho là: d: y = ax +b
Đường thẳng d cắt đồ thị hàm số (C): \(y = {x^4} - 2{x^2}\) tại hai điểm có hoành độ là 0; 1 \(\Rightarrow \) tọa độ hai điểm đó là: \(A\left( {0;0} \right),B\left( {1; - 1} \right)\)
\( \Rightarrow \left\{ \begin{array}{l}
a.0 + b = 0\\
a + b = - 1
\end{array} \right. \Leftrightarrow \left\{ \begin{array}{l}
b = 0\\
a = - 1
\end{array} \right. \Rightarrow d:y = - x\)
Khi đó ta có phương trình hoành độ giao điểm của hai đồ thị hàm số là:
\(\begin{array}{l}
- x = {x^4} - 2{x^2} \Leftrightarrow {x^4} - 2{x^2} + x = 0 \Leftrightarrow x\left( {{x^2} - 2x + 1} \right) = 0\\
\Leftrightarrow x\left( {x - 1} \right)\left( {{x^2} + x - 1} \right) = 0 \Leftrightarrow \left[ \begin{array}{l}
x = 0\\
x = 1\\
{x^2} + x - 1 = 0\,\,\,\left( * \right)
\end{array} \right.
\end{array}\)
Khi đó m, n là hai nghiệm của phương trình (*)
Áp dụng hệ thức Vi-ét ta có: \(\left\{ \begin{array}{l}
m + n = - 1\\
mn = - 1
\end{array} \right.\)
\( \Rightarrow S = {m^2} + {n^2} = {\left( {m + n} \right)^2} - 2mn = 1 + 2 = 3\)
Trong hình dưới đây, điểm B là trung điểm của đoạn thẳng AC. Khẳng định nào sau đây là đúng?
.png)
Dựa vào đồ thị hàm số ta có: \(\left\{ \begin{array}{l}
{y_A} = \ln a\\
{y_B} = \ln b\\
{y_C} = \ln c
\end{array} \right.\)
Ta có B là trung điểm của AC nên: \(2{y_B} = {y_A} + {y_C} \Leftrightarrow 2\ln b = \ln a + \ln c \Leftrightarrow \ln {b^2} = \ln ac \Leftrightarrow {b^2} = ac\)
Trong không gian với hệ tọa độ Oxyz, cho \(\overrightarrow {OA} = 3\overrightarrow i + \overrightarrow j - 2\overrightarrow k \) và \(B\left( {m;m - 1; - 4} \right)\). Tìm tất cả các giá trị của tham số m để độ dài đoạn AB = 3.
Theo đề bài ta có: \(\overrightarrow {OA} = 3\overrightarrow i + \overrightarrow j - 2\overrightarrow k \Rightarrow \overrightarrow {OA} = \left( {3;1; - 2} \right) \Rightarrow A\left( {3;1; - 2} \right)\)
\(\begin{array}{l}
AB = 3 \Leftrightarrow {\left( {m - 3} \right)^2} + {\left( {m - 2} \right)^2} + 4 = 9\\
2{m^2} - 10m + 8 = 0 \Leftrightarrow \left[ \begin{array}{l}
m = 1\\
m = 4
\end{array} \right.
\end{array}\)
Cho mặt cầu (S) có đường kính 10cm và mặt phẳng (P) cách tâm mặt cầu một khoảng 4cm. Khẳng định nào sau đây là sai?
Bán kính mặt cầu \(\left( S \right):R = 10:2 = 5\,\,cm\)
Gọi I là tâm của mặt cầu \(\left( S \right) \Rightarrow d\left( {I;\left( P \right)} \right) = 4 < R \Rightarrow \left( P \right)\) cắt (S) theo giao tuyến là đường tròn có bán kính \(r = \sqrt {{R^2} - {d^2}\left( {I;\left( P \right)} \right)} = \sqrt {{5^2} - {4^2}} = 3\)
Trong không gian với hệ tọa độ Oxyz phương trình nào sau đây là phương trình của mặt phẳng Ozx?
Phương trình mặt phẳng (Ozx) có phương trình y = 0.
Cho hàm số \(y=f(x)\) có đồ thị trên đoạn [- 1;4] như hình vẽ dưới đây. Tính tích phân \(I = \int\limits_{ - 1}^4 {f\left( x \right)dx} \)
.png)
Ta có: \(f\left( x \right) = \left\{ \begin{array}{l}
2x + 2\,\,\,\,khi\,\, - 1 \le x \le 0\\
2\,\,\,\,\,\,\,\,\,\,\,\,\,\,khi\,\,\,0 \le x \le 1\\
- 2x + 4\,khi\,\,\,1 \le x \le 2\\
- x + 2\,\,\,\,khi\,\,\,2 \le x \le 3\\
- 1\,\,\,\,\,\,\,\,\,\,\,\,khi\,\,\,3 \le x \le 4
\end{array} \right.\)
\(\begin{array}{l}
\Rightarrow I = \int\limits_{ - 1}^4 {f\left( x \right)dx = \int\limits_{ - 1}^0 {\left( {2x + 2} \right)dx + \int\limits_0^1 {2dx + \int\limits_1^2 {\left( { - 2x + 4} \right)dx + \int\limits_2^3 {\left( { - x + 2} \right)dx + \int\limits_3^4 {\left( { - 1} \right)dx} } } } } } \\
= \left( {{x^2} + 2x} \right)\left| \begin{array}{l}
^0\\
_{ - 1}
\end{array} \right. + 2x\left| \begin{array}{l}
^1\\
_0
\end{array} \right. + \left( { - {x^2} + 4x} \right)\left| \begin{array}{l}
^2\\
_1
\end{array} \right. + \left( { - \frac{{{x^2}}}{2} + 2x} \right)\left| \begin{array}{l}
^3\\
_2
\end{array} \right. + \left( { - x} \right)\left| \begin{array}{l}
^4\\
_3
\end{array} \right.\\
= 1 + 2 + 1 - \frac{1}{2} - 1 = \frac{5}{2}
\end{array}\)
Biết rằng \(\int\limits_1^a {\ln xdx = 1 + 2a,\left( {a > 1} \right)} \). Khẳng định nào dưới đây là khẳng định đúng?
Ta có: \(\int\limits_1^a {\ln xdx = 1 + 2a\left( {a > 1} \right)} \)
Đặt: \(\left\{ \begin{array}{l}
u = \ln x\\
dv = dx
\end{array} \right. \Rightarrow \left\{ \begin{array}{l}
du = \frac{1}{x}dx\\
v = x
\end{array} \right.\)
\(\begin{array}{l}
\Rightarrow I = x\ln x\left| \begin{array}{l}
^a\\
_1
\end{array} \right. - \int\limits_1^a {dx = a\ln a - x} \left| \begin{array}{l}
^a\\
_1
\end{array} \right. = a\ln a - a + 1\\
\Rightarrow 1 + 2a = a\ln a - a + 1 \Leftrightarrow 3a = a\ln a \Leftrightarrow \ln a = 3 \Leftrightarrow a = {e^3} \approx 20,08 \in \left( {18;21} \right)
\end{array}\)
Trong không gian với hệ tọa độ Oxyz, đường thẳng \(\Delta :\left\{ \begin{array}{l}
x = 2 - t\\
y = 1\\
z = - 2 + 3t
\end{array} \right.\) không đi qua điểm nào sau đây?
Thử tọa độ điểm P(4;1;- 4) ta có: \(\left\{ \begin{array}{l}
2 - t = 4\\
1 = t\\
- 2 + 3t = - 4
\end{array} \right. \Leftrightarrow \left\{ \begin{array}{l}
t = - 2\\
t = \frac{2}{3}
\end{array} \right. \Rightarrow P \notin \Delta \Rightarrow \) chọn A.
Cho tứ diện đều ABCD có tất cả các cạnh bằng 1. Gọi I là trung điểm của CD. Trên tia AI lấy S sao cho \(\overrightarrow {AI} = 2\overrightarrow {IS} \). Thể tích của khối đa diện ABCDS bằng
.png)
Ta có \(A\,S \cap \left( {BCD} \right) = I \Rightarrow \frac{{d\left( {S;\left( {BCD} \right)} \right)}}{{d\left( {A;\left( {BCD} \right)} \right)}} = \frac{{SI}}{{AI}} = \frac{1}{2}\)
\(\begin{array}{l}
\Rightarrow \frac{{{V_{S.BCD}}}}{{{V_{ABCD}}}} = \frac{1}{2} \Rightarrow {V_{S.BCD}} = \frac{1}{2}\frac{{{V_{S.BCD}}}}{{{V_{ABCD}}}}\\
\Rightarrow {V_{ABCDS}} = {V_{ABCD}} + {V_{S.BCD}} = \frac{3}{2}{V_{ABCD}} = \frac{3}{2}\frac{{\sqrt 2 }}{{12}} = \frac{{\sqrt 2 }}{8}
\end{array}\)
Gọi T là tập hợp tất cả các giá trị của tham số m để hàm số \(y = \frac{{mx + 1}}{{x + {m^2}}}\) có giá trị lớn nhất trên đoạn [2;3] bằng \(\frac{5}{6}\). Tính tổng của các phần tử trong T.
Điều kiện: \(x \ne - {m^2}\)
Ta có: \(y' = \frac{{{m^3} - 1}}{{{{\left( {x + {m^2}} \right)}^2}}}\)
Hàm số bậc nhất trên bậc nhất luôn đồng biến hoặc nghịch biến trên từng khoảng xác định của nó.
Ta có \(x \ne - {m^2} < 0 \Rightarrow x \in \left[ {2;3} \right] \Rightarrow \) hàm số luôn xác định với mọi m.
Có: \(y\left( 2 \right) = \frac{{2m + 1}}{{{m^2} + 2}};y\left( 3 \right) = \frac{{3m + 1}}{{{m^2} + 3}}\)
TH1: Hàm số đạt GTLN tại \(x = 2 \Rightarrow \left\{ \begin{array}{l}
y' < 0\\
y\left( 2 \right) = \frac{5}{6}
\end{array} \right.\)
\(\left\{ \begin{array}{l}
{m^3} - 1 < 0\\
\frac{{2m + 1}}{{{m^2} + 2}} = \frac{5}{6}
\end{array} \right. \Leftrightarrow \left\{ \begin{array}{l}
m < 1\\
5{m^2} - 12m + 4 = 0
\end{array} \right. \Leftrightarrow \left\{ \begin{array}{l}
m < 1\\
\left[ \begin{array}{l}
m = 2\\
m = \frac{2}{5}
\end{array} \right.
\end{array} \right. \Leftrightarrow m = \frac{2}{5}\)
TH2: Hàm số đạt GTLN tại \(x = 3 \Rightarrow \left\{ \begin{array}{l}
y' > 0\\
y\left( 3 \right) = \frac{5}{6}
\end{array} \right.\)
\(\left\{ \begin{array}{l}
{m^3} - 1 > 0\\
\frac{{3m + 1}}{{{m^2} + 3}} = \frac{5}{6}
\end{array} \right. \Leftrightarrow \left\{ \begin{array}{l}
m > 1\\
5{m^2} - 18m + 9 = 0
\end{array} \right. \Leftrightarrow \left\{ \begin{array}{l}
m > 1\\
\left[ \begin{array}{l}
m = 3\\
m = \frac{3}{5}
\end{array} \right.
\end{array} \right. \Leftrightarrow m = 3\)
\( \Rightarrow T = 3 + \frac{2}{5} = \frac{{17}}{5}\)
Biết rằng thiết diện qua trục của một hình nón là tam giác đều có diện tích bằng \({a^2}\sqrt 3 \). Tính thể tích V của khối nón đã cho.
Gọi cạnh của tam giác đều qua trục là x
\( \Rightarrow S = \frac{{{x^2}\sqrt 3 }}{4} = {a^2}\sqrt 3 \Leftrightarrow {x^2} = 4{a^2} \Leftrightarrow x = 2a\)
\( \Rightarrow\) Bán kính đáy của hình nón là: \(R = \frac{x}{2} = a\), chiều cao của hình nón là:
\(\begin{array}{l}
h = \frac{{x\sqrt 3 }}{2} = \frac{{2a\sqrt 3 }}{2} = a\sqrt 3 \\
\Rightarrow {V_{non}} = \frac{1}{3}\pi {R^2}h = \frac{1}{3}\pi .{a^2}.a\sqrt 3 = \frac{{\pi {a^3}\sqrt 3 }}{3}
\end{array}\)
Tìm số nghiệm của phương trình \(\sin \left( {\cos 2x} \right) = 0\) trên \(\left[ {0;2\pi } \right]\).
\(\sin \left( {\cos 2x} \right) = 0\left( * \right) \Leftrightarrow \cos 2x = k\pi \left( {k \in Z} \right)\left( 1 \right)\)
Do \( - 1 \le \cos 2x \le 1 \Leftrightarrow - 1 \le k\pi \le 1 \Leftrightarrow - \frac{1}{\pi } \le k \le \frac{1}{\pi }\left( {k \in Z} \right) \Leftrightarrow k = 0\)
\(\begin{array}{l}
\Rightarrow \left( 1 \right) \Leftrightarrow \cos 2x = 0 \Leftrightarrow 2x = \frac{\pi }{2} + m\pi \Leftrightarrow x = \frac{\pi }{4} + \frac{{m\pi }}{2}\left( {m \in Z} \right)\\
{\rm{Do}}\,\,\,\,{\rm{x}} \in \left[ {0;2\pi } \right] \Rightarrow 0 \le \frac{\pi }{4} + \frac{{m\pi }}{2} \le 2\pi \Leftrightarrow - \frac{1}{2} \le m \le \frac{7}{2} \Rightarrow m \in \left\{ {0;1;2;3} \right\}
\end{array}\)
Vậy phương trình đã cho có 4 nghiệm thỏa mãn bài toán.
Tìm tất cả các giá trị thực của tham số m để bất phương trình \({\log _{0,02}}\left( {{{\log }_2}\left( {{3^x} + 1} \right)} \right) > {\log _{0,02}}m\) có nghiệm với mọi \(m \in \left( { - \infty ;0} \right)\)
Điều kiện xác định: m > 0
\(\begin{array}{l}
{\log _{0,02}}\left( {{{\log }_2}\left( {{3^x} + 1} \right)} \right) > {\log _{0,02}}m\\
\Leftrightarrow {\log _2}\left( {{3^x} + 1} \right) < m\,\,\,\left( {{\rm{Do}}\,\,{\rm{0,02 < 1}}} \right) \Leftrightarrow g\left( x \right) = {3^x} + 1 < {2^m}
\end{array}\)
Bất phương trình có nghiệm đúng với mọi \(x \in \left( { - \infty ;0} \right) \Rightarrow {2^m} \ge \mathop {\max }\limits_{\left( { - \infty ;0} \right)} g\left( x \right)\)
Xét hàm số \(g\left( x \right) = {3^x} + 1\) trên \(\left( { - \infty ;0} \right)\) ta có:
\(g'\left( x \right) = {3^x}\ln 3 > 0 \Rightarrow \) hàm số \(g\left( x \right) = {3^x} + 1\) đồng biến trên \(\left( { - \infty ;0} \right)\)
Lại có: \(\mathop {\max }\limits_{\left( { - \infty ;0} \right)} g\left( x \right) = g\left( 0 \right) = 2 \Rightarrow {2^m} \ge 2 \Rightarrow m \ge 1\)
Nguyên hàm của hàm số \(f\left( x \right) = {2^x} + x\) là
Ta có \(\int {f\left( x \right)dx = \int {\left( {{2^x} + x} \right)dx = \frac{{{2^x}}}{{\ln 2}} + \frac{{{x^2}}}{2} + C} } \)
Trong không gian với hệ tọa độ Oxyz, cho hình hộp ABCD.A'B'C'D' có \(A\left( {0;0;0} \right),B\left( {a;0;0} \right)\),
\(D\left( {0;2a;0} \right),A'\left( {0;0;2a} \right)\) với \(a \ne 0\). Độ dài đoạn thẳng AC' là
Dựa vào đề bài, ta có \(AB = \left| a \right|;AD = 2\left| a \right|;AA' = 2\left| a \right|\)
\(AC' = \sqrt {A{B^2} + A{D^2} + AA{'^2}} = \sqrt {{a^2} + 4{a^2} + 4{a^2}} = 3\left| a \right|\)
Cho khối tứ diện ABCD có \(BC = 3,CD = 4,\angle ABC = \angle BCD = \angle ADC = {90^0}\). Góc giữa hai đường thẳng AD và BC bằng \(60^0\). Côsin góc giữa hai mặt phẳng (ABC) và (ACD) bằng
.png)
Dựng \(AE \bot \left( {BCD} \right)\) ta có \(\left\{ \begin{array}{l}
BC \bot AE\\
BC \bot AB
\end{array} \right. \Rightarrow BC \bot \left( {ABE} \right) \Rightarrow BC \bot BE\)
CMTT ta có \(CD \bot DE\)
\( \Rightarrow BCDE\) là hình chữ nhật.
Ta có
\(\angle \left( {BC;AD} \right) = \angle \left( {ED;AD} \right) = \angle ADE = {60^0} \Rightarrow AE = ED.\tan {60^0} = 3\sqrt 3 \)
Gắn hệ trục tọa độ như hình vẽ ta có:
\(E\left( {0;0;0} \right),B\left( {4;0;0} \right),D\left( {0;3;0} \right),A\left( {0;0;3\sqrt 3 } \right),C\left( {4;3;0} \right)\)
Ta có
\(\begin{array}{l}
\left\{ \begin{array}{l}
\overrightarrow {AB} = \left( {4;0; - 3\sqrt 3 } \right)\\
\overrightarrow {BC} = \left( {0;3;0} \right)
\end{array} \right. \Rightarrow \left[ {\overrightarrow {AB} ;\overrightarrow {BC} } \right] = \left( {9\sqrt 3 ;0;12} \right)//\left( {3\sqrt 3 ;0;4} \right) = {\overrightarrow n _{\left( {ABC} \right)}} = \overrightarrow {{n_1}} \\
\left\{ \begin{array}{l}
\overrightarrow {AC} = \left( {4;3; - 3\sqrt 3 } \right)\\
\overrightarrow {CD} = \left( { - 4;0;0} \right)
\end{array} \right. \Rightarrow \left[ {\overrightarrow {AC} ;\overrightarrow {CD} } \right] = \left( {0;12\sqrt 3 ;12} \right)//\left( {0;\sqrt 3 ;1} \right) = {\overrightarrow n _{\left( {ACD} \right)}} = \overrightarrow {{n_2}} \\
\Rightarrow \cos \angle \left( {\left( {ABC} \right);\left( {ACD} \right)} \right) = \left| {\cos \angle \left( {\overrightarrow {{n_1}} ;\overrightarrow {{n_2}} } \right)} \right| = \frac{{\left| {\overrightarrow {{n_1}} .\overrightarrow {{n_2}} } \right|}}{{\left| {\overrightarrow {{n_1}} } \right|.\left| {\overrightarrow {{n_2}} } \right|}} = \frac{4}{{\sqrt {43} .2}} = \frac{{2\sqrt {43} }}{{43}}
\end{array}\)
Cho các số thực \(a, b, c, d\) thay đổi luôn thỏa mãn \({\left( {a - 3} \right)^2} + {\left( {b - 6} \right)^2} = 1\) và \(4c + 3d - 5 = 0\). Tính giá trị nhỏ nhất của \(T = {\left( {c - a} \right)^2} + {\left( {d - b} \right)^2}\)
.png)
Gọi \(M\left( {a;b} \right),N\left( {c;d} \right) \Rightarrow T = {\left( {c - a} \right)^2} + {\left( {d - b} \right)^2} = M{N^2}\)
Theo đề ra ta có tập hợp các điểm M là đường tròn \({\left( {x - 3} \right)^2} + {\left( {y - 6} \right)^2} = 1\,\,\,\,\left( C \right)\) có tâm I(3;6), bán kính R = 1 và tập hợp các điểm N là đường thẳng \(4x + 3y - 5 = 0\,\,\,\left( d \right)\)
Ta có \(d\left( {I;d} \right) = \frac{{\left| {4.3 + 3.6 - 5} \right|}}{{\sqrt {{4^2} + {3^2}} }} = 5 > R \Rightarrow \left( d \right)\) không cắt (C).
\( \Rightarrow {T_{\min }} = {\left( {d\left( {I;d} \right) - R} \right)^2} = {\left( {5 - 1} \right)^2} = 16\)
Đạo hàm của hàm số \(y = \log \left( {1 - x} \right)\) bằng
Ta có \(y' = \left( {\log \left( {1 - x} \right)} \right)' = \frac{{\left( {1 - x} \right)'}}{{\left( {1 - x} \right)\ln 10}} = \frac{1}{{\left( {x - 1} \right)\ln 10}}\)
Biết phương trình \(a{x^3} + b{x^2} + cx + d = 0\left( {a \ne 0} \right)\). Có đúng hai nghiệm thực. Hỏi đồ thị hàm số \(y = \left| {a{x^3} + b{x^2} + cx + d} \right|\) có bao nhiêu điểm cực trị?
Phương trình \(a{x^3} + b{x^2} + cx + d = 0\,\,\,\left( {a \ne 0} \right)\) có 2 nghiệm thực nên đồ thị hàm số \(y = a{x^3} + b{x^2} + cx + d\,\,\left( {a \ne 0} \right)\) dạng:
Vậy số cực trị của hàm số \(y = \left| {a{x^3} + b{x^2} + cx + d} \right|\) là 3.
Một tay đua đang điều khiển chiếc xe đua của mình với vận tốc 180km/ h. Tay đua nhấn ga để về đích kể từ đó xe chạy với gia tốc \(a\left( t \right) = 2t + 1\left( {m/{s^2}} \right)\). Hỏi rằng 4s sau khi tay đua nhấn ga thì xe đua chạy với vận tốc bao nhiêu km / h.
Ta có \(v\left( t \right) = \int {a\left( t \right)dt} = \int {\left( {2t + 1} \right)dt = {t^2} + t + C} \)
Do \(v\left( 0 \right) = 180 \Leftrightarrow C = 180 \Rightarrow v\left( t \right) = {t^2} + t + 180\)
\( \Rightarrow v\left( 4 \right) = {4^2} + 4 + 180 = 200\left( {m/s} \right)\)
Cho hàm số \(y=f(x)\) liên tục trên R và có đồ thị (C), trục hoành và hai đường thẳng x = 0, x = 2 (phần tô đen) là:
.png)
Trục hoành và hai đường thẳng x = 0, x = 2 (phần tô đen) chính là diện tích hình phẳng giới hạn bởi đồ thị hàm số y=f(x); x=0; x=2 là:
\(S = \int\limits_0^1 {f\left( x \right)dx - \int\limits_1^2 {f\left( x \right)dx} } \)
Cho hàm số \(y=f(x)\) có bảng biến thiên như hình vẽ dưới đây. Tổng số tiệm cận ngang và tiệm cận đứng của đồ thị hàm số \(y = \frac{1}{{2f\left( x \right) - 1}}\) là:
Dựa vào BBT ta thấy \(\mathop {\lim }\limits_{x \to - \infty } f\left( x \right) = \mathop {\lim }\limits_{x \to + \infty } f\left( x \right) = 1\)
\( \Rightarrow \mathop {\lim }\limits_{x \to - \infty } \frac{1}{{2f\left( x \right) - 1}} = \mathop {\lim }\limits_{x \to + \infty } \frac{1}{{2f\left( x \right) - 1}} = 1 \Rightarrow y = 1\) là TCN của đồ thị hàm số \(y = \frac{1}{{2f\left( x \right) - 1}}\)
Xét phương trình \(2f\left( x \right) - 1 = 0 \Leftrightarrow f\left( x \right) = \frac{1}{2}\)
Dựa vào BBT ta thấy phương trình \(f\left( x \right) = \frac{1}{2}\) có 2 nghiệm phân biệt \(x = {x_1},\,\,\,x = {x_2}\) do đó đồ thị hàm số \(y = \frac{1}{{2f\left( x \right) - 1}}\) có 2 TCĐ.
Vậy tổng số TCN và TCĐ của đồ thị hàm số \(y = \frac{1}{{2f\left( x \right) - 1}}\) là 3.
Đồ thị của hàm số nào sau đây cắt trục tung tại điểm có tung độ âm?
Xét hàm số \(y = \frac{{3x + 4}}{{x - 1}}\,\,\,\left( {x \ne 1} \right)\). Thay \(x = 0 \Rightarrow y = - 4 < 0\)
Khi đó đồ thị hàm số \(y = \frac{{3x + 4}}{{x - 1}}\,\,\,\) cắt trục tung tại điểm (0;- 4) thỏa mãn.
Cho tập \(A = \left\{ {0;1;2;3;4;5;6} \right\}\). Xác suất để lập được số tự nhiên gồm 5 chữ số khác nhau lấy từ các phần tử của tập A sao cho số đó chia hết cho 5 và các chữ số 1, 2, 3 luôn có mặt cạnh bằng nhau là
Lập số tự nhiên có 5 chữ số khác nhau từ tập \(A = \left\{ {0;1;2;3;4;5;6} \right\} \Rightarrow n\left( \Omega \right) = A_7^5 - A_6^4 = 2160\)
Gọi A là biến cố: “Số lập được chia hết cho 5 và các chữ số 1, 2, 3 luôn có mặt cạnh nhau”
Giả sử số có 5 chữ số cần tìm là \(\overline {abcde} \,\,\,\left( {a \ne 0} \right)\)
Dó số cần tìm chia hết cho 5 nên \(e \in \left\{ {0;5} \right\}\)
TH1: e = 0
+) Buộc 3 số 1, 2, 3, coi là 1 phần tử. Sắp xếp 3 số này trong buộc có 3! = 6 cách.
+) Chọn vị trí cho buộc (123) có 2 cách chọn.
+) Số cách chọn 1 số còn lại (khác 0, 1, 2, 3) là 3 cách.
Suy ra có 1.6.2.3 = 36 số.
TH2: e = 5
+) Buộc 3 số 1, 2, 3, coi là 1 phần tử. Sắp xếp 3 số này trong buộc có 3! = 6 cách.
-) Nếu buộc (123) đứng ở vị trí (abc), khi đó có 3 cách chọn \(d\left( {d \in \left\{ {0;4;6} \right\}} \right)\)
-) Nếu buộc (123) đứng ở vị trí (bcd), khi đó có 2 cách chọn \(a\left( {a \in \left\{ {4;6} \right\}} \right)\)
\( \Rightarrow \) Có 1.6.(3+2) = 30 số.
\( \Rightarrow n\left( A \right) = 36 + 30 = 66\)
Vậy \(P\left( A \right) = \frac{{n\left( A \right)}}{{n\left( \Omega \right)}} = \frac{{66}}{{2160}} = \frac{{11}}{{360}}\)
Cho bất phương trình \({\left( {\frac{1}{3}} \right)^{\frac{2}{x}}} + 3{\left( {\frac{1}{3}} \right)^{\frac{1}{x} + 1}} > 12\) có tập nghiệm \(S = \left( {a;b} \right)\). Giá trị của biểu thức \(P = 3a + 10b\) là
\({\left( {\frac{1}{3}} \right)^{\frac{2}{x}}} + 3{\left( {\frac{1}{3}} \right)^{\frac{1}{x} + 1}} > 12 \Leftrightarrow {\left[ {{{\left( {\frac{1}{3}} \right)}^{\frac{1}{x}}}} \right]^2} + {\left( {\frac{1}{3}} \right)^{\frac{1}{x}}} > 12\,\,\left( {x \ne 0} \right)\)
Đặt \(t = {\left( {\frac{1}{3}} \right)^{\frac{1}{x}}} > 0\), bất phương trình trở thành \({t^2} + t > 12 \Leftrightarrow {t^2} + t - 12 > 0 \Leftrightarrow \left[ \begin{array}{l}
t > 3\\
t < - 4\,\,(loai)
\end{array} \right.\)
Với \(t > 3 \Leftrightarrow {\left( {\frac{1}{3}} \right)^{\frac{1}{x}}} > 3 = {\left( {\frac{1}{3}} \right)^{ - 1}} \Leftrightarrow \frac{1}{x} < - 1 \Leftrightarrow \frac{{1 + x}}{x} < 0 \Leftrightarrow - 1 < x < 0\)
Suy ra tập nghiệm của bất phương trình \(S = \left( { - 1;0} \right) \Rightarrow \left\{ \begin{array}{l}
a = - 1\\
b = 0
\end{array} \right. \Rightarrow P = 3a + 10b = - 3\)
Trong không gian Oxyz, cho mặt cầu \(S:{\left( {x - 1} \right)^2} + {\left( {y - 2} \right)^2} + {\left( {z - 3} \right)^2} = 25\) và M(4;6;3). Qua M kẻ các tia Mx, My, Mz đôi một vuông góc với nhau và cắt mặt cầu tại các điểm thứ hai tương ứng là A, B, C. Biết mặt phẳng (ABC) luôn đi qua một điểm cố định \(H\left( {a;b;c} \right)\). Tính \(a+3b-c\)
Ta có M(4;6;3) nằm trên mặt cầu (S) tâm I(1;2;3) bán kính R = 5.
Dựng hình hộp chữ nhật nội tiếp hình cầu, có ba cạnh là MA, MB, BC
Ta có tâm I(1;2;3) của mặt cầu cũng là tâm của hình hộp chữ nhật
Gọi O là tâm đường tròn ngoại tiếp tứ giác MAFC.
Trong mặt phẳng (MBF)
Gọi \(\begin{array}{l} H = MI \cap BO\\ \Rightarrow H \in BO \subset \left( {ABC} \right)\,\,\,(1) \end{array}\)
Do H là trọng tâm của tam giác MBF nên MH = 23 MI
Do I, M cố định nêm H cố định (2)
Từ (1) và (2) suy ra (ABC) luôn đi qua điểm cố định H.
Gọi H(a;b;c). Ta có \(\overrightarrow {MH} = \frac{2}{3}\overrightarrow {MI} \)
với \(\overrightarrow {MH} = \left( {a - 4;b - 6;c - 3} \right)\)
\(\overrightarrow {MI} = \left( { - 3; - 4;0} \right)\)
Ta được
\(\left\{ \begin{array}{l} a - 4 = - 2\\ b - 6 = - \frac{8}{3}\\ c - 3 = 0 \end{array} \right. \Leftrightarrow \left\{ \begin{array}{l} a = 2\\ b = \frac{{10}}{3}\\ c = 3 \end{array} \right.\)
Vậy a+3b-c=2+10-3=9.
Để chuẩn bị cho hội trại do Đoàn trường tổ chức, lớp 12A dự định dựng một cái lều trại có dạng hình parabol như hình vẽ. Nền của lều trại là một hình chữ nhật có kích thước bề ngang 3 mét, chiều dài 6 mét, đỉnh trại cách nền 3 mét. Tính thể tích phần không gian bên trong lều trại.
.png)
.png)
Gắn hệ trục tọa độ như hình vẽ.
Gọi phương trình parabol là: \(y = a{x^2} + bx + c\), parabol đi qua các điểm
\(\left( {3;0} \right);\,\,\,\left( { - 3;0} \right);\,\,\,\left( {0;3} \right)\) nên ta có hệ phương trình:
\(\left\{ \begin{array}{l}
c = 3\\
9a + 3b + c = 0\\
9a - 3b + c = 0
\end{array} \right. \Rightarrow \left\{ \begin{array}{l}
a = - \frac{1}{3}\\
b = 0\\
c = 3
\end{array} \right. \Rightarrow y = - \frac{1}{3}{x^2} + 3\)
Diện tích hình phẳng giới hạn bởi parabol \(y = - \frac{1}{3}{x^2} + 3\) và trục Ox là: \(S = \int\limits_{ - 3}^3 {\left( { - \frac{1}{3}{x^2} + 3} \right)} dx = 12\)
Vậy thể tích phần không gian bên trong lều trại là V = 12.3 = 36 (m3)
Trong không gian Oxyz, cho mặt phẳng \(\left( P \right):x - z + 6 = 0\) và hai mặt cầu \(\left( {{S_1}} \right):{x^2} + {y^2} + {z^2} = 25;\,\,\,\left( {{S_2}} \right):{x^2} + {y^2} + {z^2} + 4x - 4z + 7 = 0\). Biết rằng tập hợp tâm I các mặt cầu tiếp xúc với cả hai mặt cầu \((S_1), (S_2)\) và tâm I nằm trên (P) là một đường cong. Tính diện tích hình phẳng giới hạn bởi đường cong đó.
\((S_1)\) có tâm O(0;0;0) và có bán kính \(R_1=5\).
\((S_2)\) có tâm K(-2;0;2) và có bán kính \(R_2=1\).
Ta thấy \(\overrightarrow {OK} = \left( { - 2;0;2} \right)\) vuông góc với mặt phẳng (P).
Do đó O, K, H thẳng hàng, với H là hình chiếu vuông góc của O xuống (P) và H cố định.
Ta có \(OH = d\left( {O,\left( P \right)} \right) = 3\sqrt 2 ,KH = d\left( {K,\left( P \right)} \right) = \sqrt 2 \)
Ta thấy mặt cầu \((S_1)\) chứa \((S_2)\), \((S_1)\) cắt (P) nhưng \((S_2)\) không cắt (P).
Do đó mặt cầu tâm I phải tiếp xúc trong với \((S_1)\) và tiếp xúc ngoài với \((S_2)\)
Gọi R là bán kính mặt cầu tâm I. Suy ra:
\(OI=R_1-R=5-R,KI=R_2+R=1+R\).
Ta có:
Do vậy, I luôn thuộc mặt cầu \((S_3)\) tâm H, bán kính \({R_3} = \frac{{\sqrt 7 }}{3}\).
Mà I thuộc mặt phẳng (P) nên I thuộc đường tròn giao tuyến của (P) và \((S_3)\).
Vì \(H \in (P)\) nên bán kính đường tròn giao tuyến là \(r={R_3} = \frac{{\sqrt 7 }}{3}\).
Vậy diện tích là \(\pi {r^2} = \frac{7}{9}\pi \)
Cho hình nón đỉnh S có đáy là đường tròn tâm O bán kính R. Trên đường tròn (O) lấy 2 điểm A, B sao cho tam giác OAB vuông. Biết diện tích tam giác SAB bằng \({R^2}\sqrt 2 \), thể tích V của khối nón đã cho bằng
.png)
Gọi M là trung điểm của AB
Do tam giác OAB cân tại O \( \Rightarrow OM \bot AB\)
\(\begin{array}{l}
\left\{ \begin{array}{l}
AB \bot OM\\
AB \bot SO
\end{array} \right. \Rightarrow AB \bot \left( {SOM} \right) \Rightarrow AB \bot SM\\
\Rightarrow {S_{ABC}} = \frac{1}{2}SM.AB \Rightarrow SM = \frac{{2{S_{ABC}}}}{{AB}} = \frac{{2.{R^2}\sqrt 2 }}{{R\sqrt 2 }} = 2R
\end{array}\)
Ta có \(OM = \frac{1}{2}AB = \frac{{R\sqrt 2 }}{2} \Rightarrow SO = \sqrt {S{M^2} - O{M^2}} = \frac{{R\sqrt {14} }}{2}\)
Vậy \({V_N} = \frac{1}{3}\pi {R^2}.\frac{{R\sqrt {14} }}{2} = \frac{{\pi {R^3}\sqrt {14} }}{6}\)
Phương trình \(\log _3^2x - 2{\log _{\frac{1}{3}}}x - 3 = 0\) có hai nghiệm phân biệt là \(x_1, x_2\). Tính giá trị của biểu thức \(P = {\log _3}{x_1} + {\log _{27}}{x_2}\) biết \(x_1<x_2\)
\(\begin{array}{l}
\log _3^2x - 2{\log _{\sqrt 3 }}x - 2{\log _{\frac{1}{3}}}x - 3 = 0\,\,\left( {x > 0} \right)\\
\Leftrightarrow \log _3^2x - 2.2.{\log _3}x - 2.\left( { - 1} \right){\log _3}x - 3 = 0\\
\Leftrightarrow \log _3^2x - 2{\log _3}x - 3 = 0\\
\Leftrightarrow \left[ \begin{array}{l}
{\log _3}x = 3\\
{\log _3}x = - 1
\end{array} \right. \Leftrightarrow \left[ \begin{array}{l}
x = 27 = {x_2}\\
x = \frac{1}{3} = {x_1}
\end{array} \right.\left( {tm} \right)\\
\Rightarrow P = {\log _3}{x_1} + {\log _{27}}{x_2} = {\log _3}\frac{1}{3} + {\log _{27}}27 = - 1 + 1 = 0
\end{array}\)
Trong không gian Oxyz, cho đường thẳng \(d:\frac{{x - 1}}{1} = \frac{{y - 2}}{{ - 2}} = \frac{{z + 2}}{1}\). Mặt phẳng nào sau đây vuông góc với đường thẳng d.
Ta có \(\overrightarrow {{u_d}} = \left( {1; - 2;1} \right)\) là 1 VTCP của đường thẳng (d)
Xét đáp án D ta có \(\left( P \right):x - 2y + z + 1 = 0\) có 1 VTPT là \(\overrightarrow {{n_P}} = \left( {1; - 2;1} \right) = \overrightarrow {{u_d}} \)
Vậy (P) ở đáp án D vuông góc với (d).
Tập hợp các số thực m để phương trình \({\log _2}x = m\) có nghiệm thực là
Do hàm số \(y = {\log _2}x\,\,\left( {x > 0} \right)\) có tập giá trị là R nên phương trình \({\log _2}x = m\) có nghiệm \(\forall m \in R\)
Trong không gian Oxyz, cho điểm \(A\left( {1;0;0} \right),B\left( {0; - 1;0} \right),C\left( {0;0;1} \right),D\left( {1; - 1;1} \right)\). Mặt cầu tiếp xúc 6 cạnh của tứ diện ABCD cắt (ACD) theo thiết diện có diện tích S. Chọn mệnh đề đúng?
Dễ dàng tính được \(AB = BC = CD = DA = \sqrt 2 \Rightarrow \) Tứ diện ABCD là tứ diện đều.
\(\Rightarrow \) Tâm mặt cầu tiếp xúc với 6 cạnh của tứ diện chính là tâm của tứ diện đều.
Gọi M, N lần lượt là trung điểm của AB, CD \( \Rightarrow M\left( {\frac{1}{2}; - \frac{1}{2};0} \right),N\left( {\frac{1}{2};\frac{{ - 1}}{2};1} \right)\)
Gọi I là trung điểm của MN \( \Rightarrow I\left( {\frac{1}{2}; - \frac{1}{2};\frac{1}{2}} \right)\) là tâm của tứ diện ABCD.
Bán kính mặt cầu cần tìm là \(R = d\left( {I;AB} \right) = \frac{{\left| {\left[ {\overrightarrow {IA} ;\overrightarrow {AB} } \right]} \right|}}{{\left| {\overrightarrow {AB} } \right|}} = \frac{{\sqrt 6 }}{6}\)
Ta có \(\left\{ \begin{array}{l}
\overrightarrow {AC} = \left( { - 1;0;1} \right)\\
\overrightarrow {AD} = \left( {0; - 1;1} \right)
\end{array} \right. \Rightarrow \overrightarrow n = \left[ {\overrightarrow {AC} ;\overrightarrow {AD} } \right] = \left( {1;1;1} \right)\) là 1 VTPT của (ACD).
\(\Rightarrow \) Phương trình (ACD) là: \(\left( {x - \frac{1}{2}} \right) + \left( {y + \frac{1}{2}} \right) + \left( {z - \frac{1}{2}} \right) = 0 \Leftrightarrow x + y + z - \frac{1}{2} = 0\)
\(d\left( {I;\left( {ACD} \right)} \right) = \frac{{\left| {\frac{1}{2} - \frac{1}{2} + \frac{1}{2} - \frac{1}{2}} \right|}}{{\sqrt 3 }} = 0 \Rightarrow I \in \left( {ACD} \right)\). Do đó mặt cầu tiếp xúc 6 cạnh của tứ diện ABCD cắt (ACD) theo thiết diện là đường tròn lớn có bán kính \(R = \frac{{\sqrt 6 }}{6} \Rightarrow S = \pi {R^2} = \frac{\pi }{6}\)
Cho hàm số \(y=f(x)\) liên tục trên đoạn [1;3], thỏa mãn \(f\left( {4 - x} \right) = f\left( x \right),\forall x \in \left[ {1;3} \right]\) và \(\int\limits_1^3 {xf\left( x \right)dx = - 2} \). Giá trị \(2\int\limits_1^3 {f\left( x \right)dx} \) bằng:
Ta có: \(I = \int\limits_1^3 {xf\left( x \right)dx = \int\limits_1^3 {tf\left( t \right)dt = - 2} } \)
Đặt \(t = 4 - x \Rightarrow dt = - dx\). Đổi cận \(\left\{ \begin{array}{l}
x = 1 \Rightarrow t = 3\\
x = 3 \Rightarrow t = 1
\end{array} \right.\)
\(\begin{array}{l}
\Rightarrow I = - \int\limits_3^1 {\left( {4 - x} \right)f\left( {4 - x} \right)dx = \int\limits_1^3 {\left( {4 - x} \right)f\left( x \right)dx = - 2} } \\
\Leftrightarrow 2I = \int\limits_1^3 {xf\left( x \right)dx + \int\limits_1^3 {\left( {4 - x} \right)f\left( x \right)} dx} = - 4\\
\Leftrightarrow \int\limits_1^3 {\left( {4 - x + x} \right)f\left( x \right)} dx = - 4 \Leftrightarrow 4\int\limits_1^3 {f\left( x \right)dx = - 4} \Leftrightarrow \int\limits_{ - 1}^3 {f\left( x \right)dx = - 1}
\end{array}\)
Cho khối chóp tứ giác đều có cạnh đáy bằng a, cạnh bên gấp hai lần cạnh đáy. Tính thể tích V của khối chóp đã cho.
.png)
Gọi \(O = AC \cap BD \Rightarrow SO \bot \left( {ABCD} \right)\)
ABCD là hình vuông cạnh a \( \Rightarrow AC = BD = a\sqrt 2 \Rightarrow AO = \frac{{a\sqrt 2 }}{2}\)
Áp dụng định lí Pytago trong tam giác vuông SAO:
\(SO = \sqrt {S{A^2} - A{O^2}} = \sqrt {4{a^2} - \frac{{{a^2}}}{2}} = \frac{{a\sqrt {14} }}{2}\)
Vậy \({V_{S.ABCD}} = \frac{1}{3}SO.{S_{ABCD}} = \frac{1}{3}.\frac{{a\sqrt {14} }}{2}.{a^2} = \frac{{{a^3}\sqrt {14} }}{6}\)
Cho tập \(M = \left\{ {1;2;3;4;5;6;7;8;9} \right\}\). Có bao nhiêu tập con có 4 phần tử lấy từ các phần tử của tập M?
Phương pháp:
Tổ hợp chập k của n là số cách chọn k phần tử từ một tập n phần tử mà không phân biệt thứ tự.
Cách giải:
Số tập con có 4 phần tử lấy từ các phần tử của tập M là \(C_9^4\)
Cho hai đường thẳng phân biệt a, b và mặt phẳng (P). Chọn khẳng định đúng?
Phương pháp:
Sử dụng mối quan hệ song song, vuông góc giữa các đường thẳng và mặt phẳng trong không gian.
Cách giải:
Khẳng định đúng là: Nếu a // (P) và \(b/bot (P)\) thì \(b\bot a\)
Cho hàm số \(y=f(x)\) có đạo hàm trên R, thỏa mãn \(f\left( { - 1} \right) = f\left( 3 \right) = 0\) và đồ thị của hàm số \(y=f'(x)\) có dạng như hình dưới đây. Hàm số \(y = {\left( {f\left( x \right)} \right)^2}\) nghịch biến trên khoảng nào trong các khoảng sau?
Từ đồ thị hàm số \(y=f'(x)\) ta suy ra BBT của đồ thị hàm số \(y=f(x)\) như sau:
Đặt \(y = g\left( x \right) = {\left( {f\left( x \right)} \right)^2}\) ta có
\(y' = g'\left( x \right) = 2f\left( x \right)f'\left( x \right) = 0 \Leftrightarrow \left[ \begin{array}{l}
f\left( x \right) = 0\\
f'\left( x \right) = 0
\end{array} \right. \Leftrightarrow \left[ \begin{array}{l}
x = - 1\,\,(boi\,\,2)\\
x = 3\,\,\,\,\,(boi\,\,2)\\
x = 1\,\,\,\,\,\,(boi\,\,1)
\end{array} \right.\)
Do đó x = 1 là 1 cực trị của hàm số, do đó loại các đáp án C và D.
Xét đáp án A ta có \(\forall x \in \left( {1;2} \right) \Rightarrow \left\{ \begin{array}{l}
f\left( x \right) < 0\\
f'\left( x \right) > 0
\end{array} \right. \Rightarrow g'\left( x \right) < 0 \Rightarrow \) Hàm số \(y=g(x)\) nghịch biến trên (1;2).
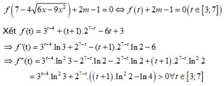
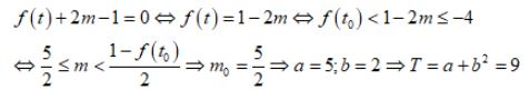
Cho hàm số \(f\left( x \right) = {3^{x - 4}} + \left( {x + 1} \right){.2^{7 - x}} - 6x + 3\). Giả sử \({m_0} = \frac{a}{b}\) (\(a,b \in Z,\frac{a}{b}\) là phân số tối giản) là giá trị nhỏ nhất của tham số thực m sao cho phương trình \(f\left( {7 - 4\sqrt {6x - 9{x^2}} } \right) + 2m - 1 = 0\) có số nghiệm nhiều nhất. Tính giá trị của biểu thức \(P = a + {b^2}\)
Đặt
\(\begin{array}{l} t = 7 - 4\sqrt {6x - 9{x^2}} \left( {x \in \left[ {0;\frac{2}{3}} \right]} \right)\\ \Rightarrow t' = \frac{{36x - 12}}{{\sqrt {6x - 9{x^2}} }}\\ \Rightarrow t' = 0\\ \Rightarrow x = \frac{1}{3} \end{array}\)
Bảng biến thiên
Ta có \(t \in \left[ {3;7} \right]\) và t = 3 có 1 nghiệm; \(t \in \left( {3;7} \right]\) có hai nghiệm.
Vậy f’(t)=0 có nhiều nhất 1 nghiệm trên đoạn [3;7]
Vì f’(6).f’(7)<0 suy ra f’(t)=0 có nghiệm \(t_0 \in (6;7)\)
Bảng biến thiên
Ta thấy khi \(f(t) \in [f(t_0);-4]\) thì phương trình có nghiệm nhiều nhất
Trong không gian tọa độ Oxyz, góc giữa hai vectơ (\overrightarrow i\) và \(\overrightarrow u = \left( { - \sqrt 3 ;0;1} \right)\) là
Ta có \(\overrightarrow i = \left( {1;0;0} \right) \Rightarrow \cos \angle \left( {\overrightarrow i ;\overrightarrow u } \right) = \frac{{ - \sqrt 3 + 0 + 0}}{{\sqrt {{1^2} + {0^2} + {0^2}} \sqrt {{{\left( { - \sqrt 3 } \right)}^2} + {0^2} + {1^2}} }} = - \frac{{\sqrt 3 }}{2}\)
\( \Rightarrow \angle \left( {\overrightarrow i ;\overrightarrow u } \right) = {150^0}\)
Tiếp tuyến tại điểm cực tiểu của đồ thị hàm số \(y = \frac{1}{3}{x^3} - 2{x^2} + 3x - 5\)
TXĐ: D = R. Ta có \(y' = {x^2} - 4x + 3 = 0 \Leftrightarrow \left[ \begin{array}{l}
x = 1\\
x = 3
\end{array} \right.\)
\(y'' = 2x - 4 \Leftrightarrow \left\{ \begin{array}{l}
y''\left( 1 \right) = - 2 < 0\\
y''\left( 3 \right) = 2 > 0
\end{array} \right. \Rightarrow x = 3\) là điểm cực tiểu của hàm số.
Do \(y'(3)=0\) nên tiếp tuyến tại điểm cực tiểu của đồ thị hàm số là \(y = 0\left( {x - 3} \right) - 5 = - 5\) là đường thẳng song song với trục hoành.


